Documentazione

Applica filtri



Analisi descrittiva dei parametri di qualità delle acque sotterranee

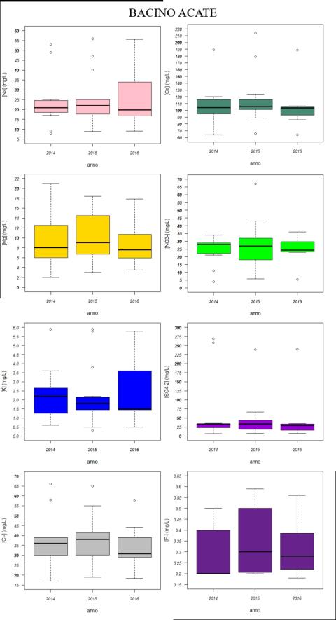
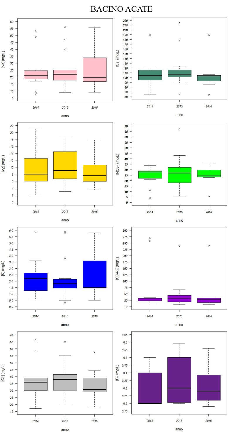
Parametri chimici - bacino Acate

Parametri chimici - bacino Acate

Boxplot dei parametri chimici (Na, mg/L; Ca, mg/L; Mg, mg/L, NO3-, mg/L; K, mg/L; SO42-, mg/L; Cl, mg/L; F, mg/L) del bacino Acate

Fonte: UNICT

Documento del 28/02/2019


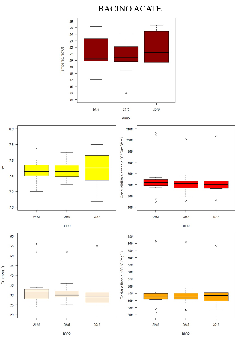
Parametri fisici - bacino Acate

Parametri fisici - bacino Acate

Boxplot dei parametri fisici (T, ?C; pH; CE, ?S/cm; DT, ?F; RF, mg/L) del bacino Acate

Fonte: UNICT

Documento del 28/02/2019


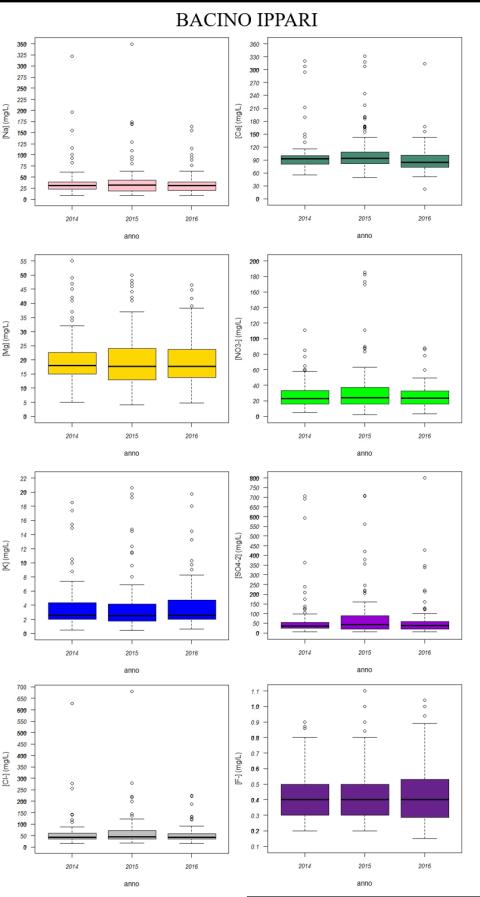
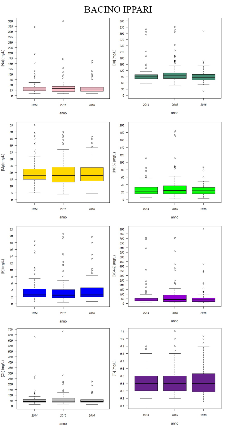
Parametri chimici - bacino Ippari

Parametri chimici - bacino Ippari

Boxplot dei parametri chimici (Na, mg/L; Ca, mg/L; Mg, mg/L, NO3-, mg/L; K, mg/L; SO42-, mg/L; Cl, mg/L; F, mg/L) del bacino Ippari

Fonte: UNICT

Documento del 28/02/2019


Parametri fisici - bacino Ippari

Parametri fisici - bacino Ippari

Boxplot dei parametri fisici (T, ?C; pH; CE, ?S/cm; DT, ?F; RF, mg/L) del bacino Ippari

Fonte: UNICT

Documento del 28/02/2019


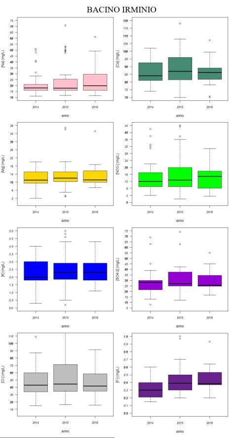
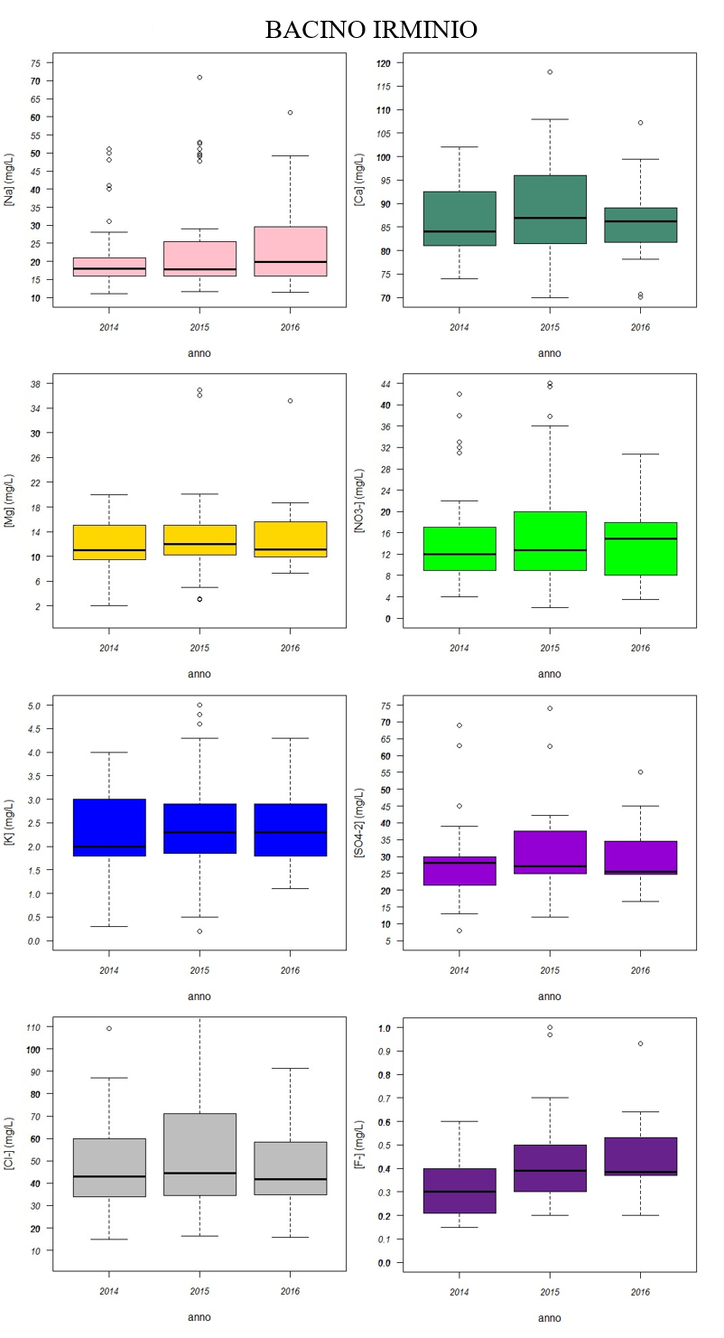
Parametri chimici - bacino Irminio

Parametri chimici - bacino Irminio

Boxplot dei parametri chimici (Na, mg/L; Ca, mg/L; Mg, mg/L, NO3-, mg/L; K, mg/L; SO42-, mg/L; Cl, mg/L; F, mg/L) del bacino Irminio

Fonte: UNICT

Documento del 28/02/2019


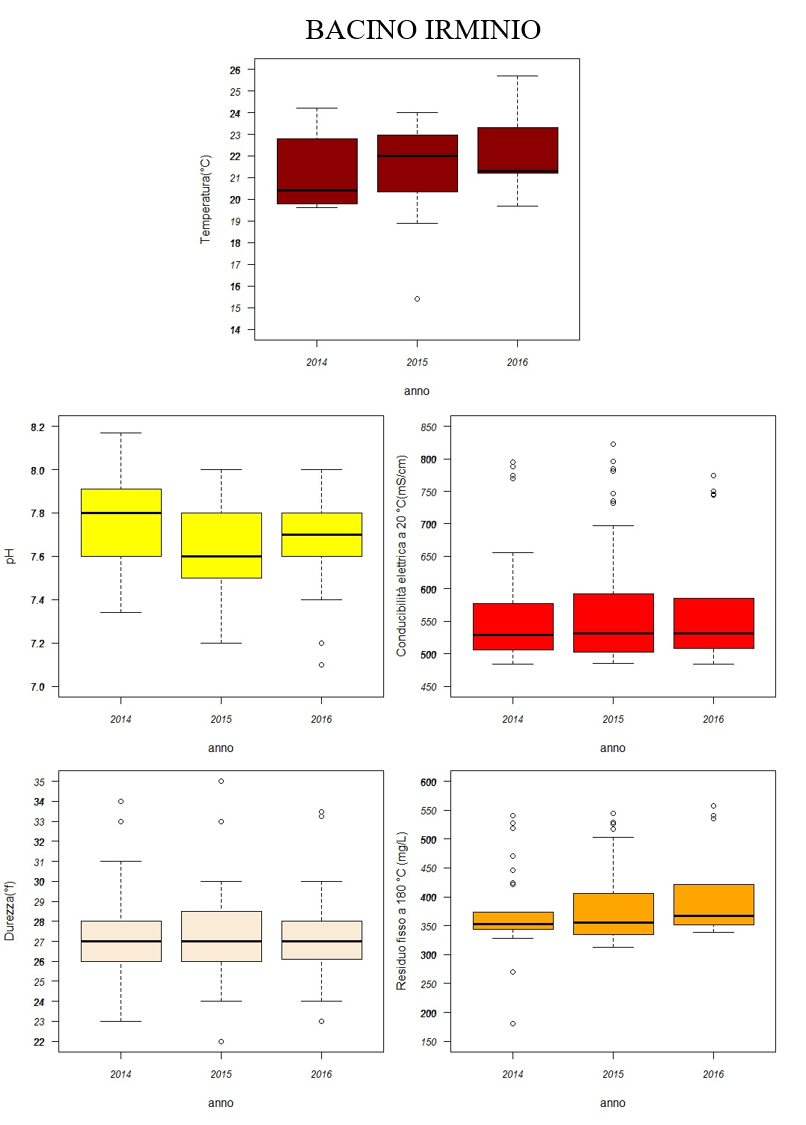
Parametri fisici - bacino Irminio

Parametri fisici - bacino Irminio

Boxplot dei parametri fisici (T, ?C; pH; CE, ?S/cm; DT, ?F; RF, mg/L) del bacino Irminio

Fonte: UNICT

Documento del 28/02/2019


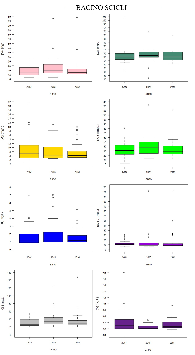
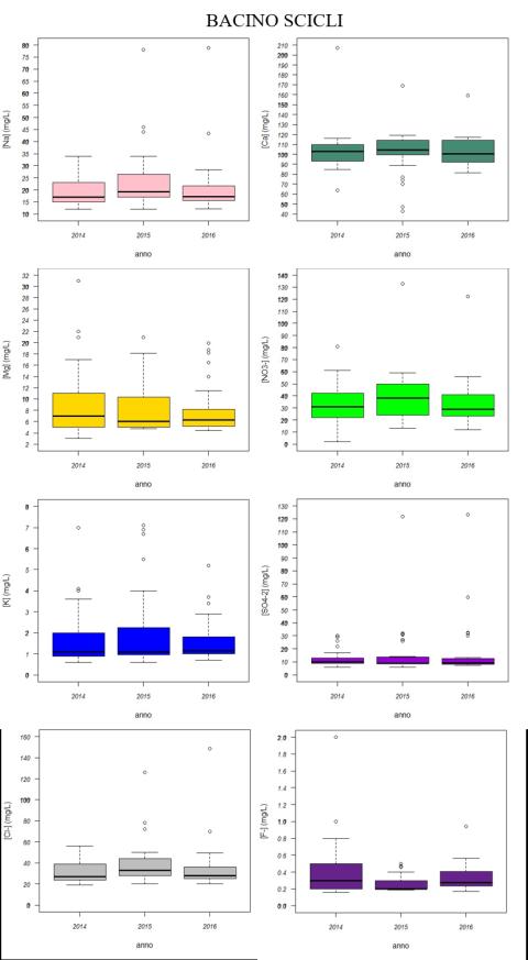
Parametri chimici - bacino Scicli

Parametri chimici - bacino Scicli

Boxplot dei parametri chimici (Na, mg/L; Ca, mg/L; Mg, mg/L, NO3-, mg/L; K, mg/L; SO42-, mg/L; Cl, mg/L; F, mg/L) del bacino Scicli

Fonte: UNICT

Documento del 28/02/2019


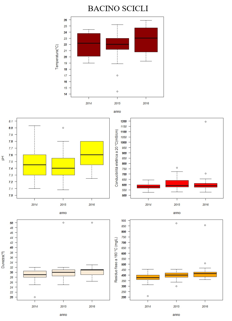
Parametri fisici - bacino Scicli

Parametri fisici - bacino Scicli

Boxplot dei parametri fisici (T, ?C; pH; CE, ?S/cm; DT, ?F; RF, mg/L) del bacino Scicli

Fonte: UNICT

Documento del 28/02/2019


Parametri chimici - bacini minori fra Ippari e Irminio

Parametri chimici - bacini minori fra Ippari e Irminio

Boxplot dei parametri chimici (Na, mg/L; Ca, mg/L; Mg, mg/L, NO3-, mg/L; K, mg/L; SO42-, mg/L; Cl, mg/L; F, mg/L) dei bacini minori fra Ippari e Irminio

Fonte: UNICT

Documento del 28/02/2019


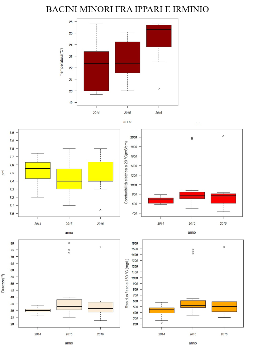
Parametri fisici - bacini minori fra Ippari e Irminio

Parametri fisici - bacini minori fra Ippari e Irminio

Boxplot dei parametri fisici (T, ?C; pH; CE, ?S/cm; DT, ?F; RF, mg/L) dei bacini minori fra Ippari e Irminio

Fonte: UNICT

Documento del 28/02/2019


Parametri chimici - bacini minori fra Scicli e Capo Passero

Parametri chimici - bacini minori fra Scicli e Capo Passero

Boxplot dei parametri chimici (Na, mg/L; Ca, mg/L; Mg, mg/L, NO3-, mg/L; K, mg/L; SO42-, mg/L; Cl, mg/L; F, mg/L) dei bacini minori fra Scicli e Capo Passero

Fonte: UNICT

Documento del 28/02/2019


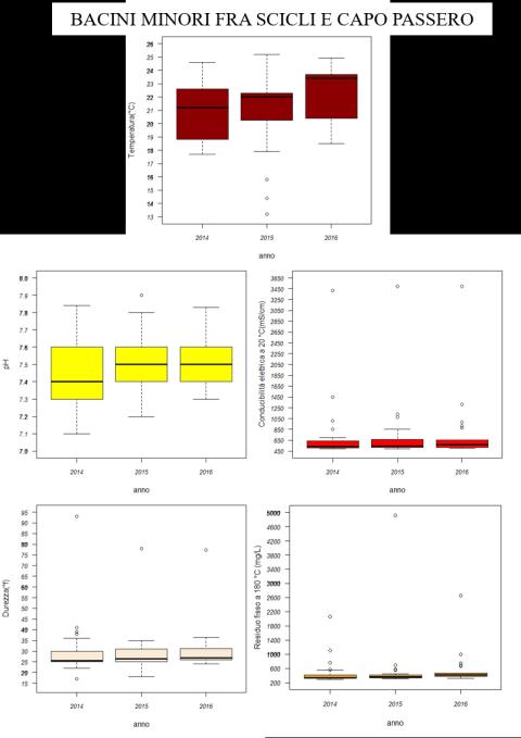
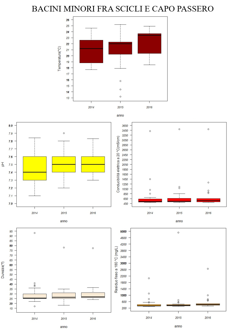
Parametri fisici - bacini minori fra Scicli e Capo Passero

Parametri fisici - bacini minori fra Scicli e Capo Passero

Boxplot dei parametri fisici (T, ?C; pH; CE, ?S/cm; DT, ?F; RF, mg/L) dei bacini minori fra Scicli e Capo Passero

Fonte: UNICT

Documento del 28/02/2019


Progetto finanziato dal Ministero dello Sviluppo Economico